File photo
The average cost of full-time childcare in Kildare is one of the highest in the country totaling more than €200 a week according to new official figures.
Read also: See more Kildare stories
The statistics, which were released today also reveal working Kildare parents of infants could be shelling out over €14,000 a year to have their children cared for.
The childcare charges have been published by the Minister for Children and Youth Affairs, Dr Katherine Zappone, in new data on the cost of early learning and care and school-age childcare to families across Ireland.
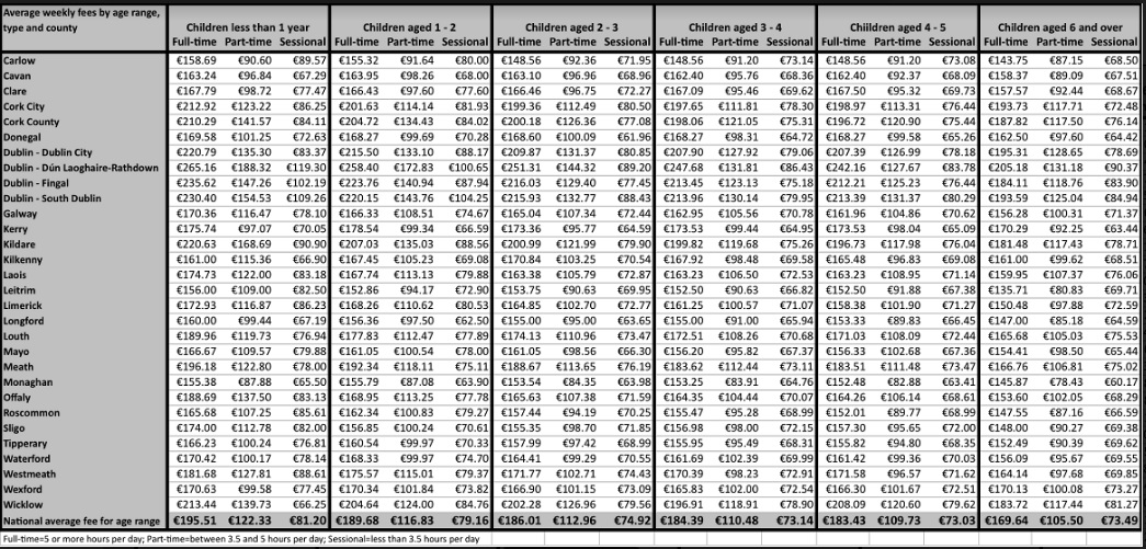
The survey of 4,000 childcare reveals that the average fee for full-time childcare now stands at €184 per week - an increase of 3.6% since last year.
The lowest full-time fees, for children 2-3 years old, were recorded in Co. Carlow at €148 per week, with the highest full-time fees recorded in Dublin (Dun Laoghaire Rathdown), at €251 per week for children.
The survey reveals that the average cost of full-time childcare in Kildare is €200.49 for five or more hours a day. Part-time care, which equates to 3.5 to 5 hours daily, costs on average €121.55 a week. Sessional weekly care costs €75.69 which is less than 3.5 hours a day.
The survey also breaks down the costs by age group.
Full-time care for infants is the most expensive. They cost €220.63 a week on average. This would leave parents with an annual bill of some €14,472 for 52 weeks. Part-time care for babies and children under 1 costs on average €168.69 a week Sessional care for the same age group costs €90.90.
The full-time care cost of children aged 1 to 2 is €207.03 a week on average. Part-time care for toddlers costs on average €135.03 a week. Sessional care for the same age group costs €88.56.
The costs of full-time care cost of children aged 2 to 3 is €200.99 a week on average. Part-time care for this age group costs on average €121.99 a week. Sessional care for the same age group costs €79.90.
The cost for children aged 3 to 4 is marginally less for full-time care at €199.82 a week on average. The part-time care average weekly fee rises to €119.68 a week. Sessional care for the same age group averages €75.26.
The cost for children aged 4 to 5 is for full-time care is €196.73 a week on average. The part-time care average weekly fee rises again to €117.98. Sessional care for the same age group costs €76.04 a week.
The cost for children aged 6 and over for full-time care drops to €181.48 a week on average. The part-time care weekly fee falls to an average €117.43 for the older children. Sessional care for the oldest age category rises to €78.71 a week.
More below tables


A statement said the publication of this information seeks to provide parents with information on the average cost for early learning and care and school-age childcare in their local area according to their child’s age. The Department said it highlights major variations across the country.
Minister Zappone said: “A key priority for me as Minister for Children and Youth Affairs is to reduce the cost of high-quality early learning and care and school-age childcare to parents and bring it into line with EU norms.
“Despite record investment in early learning and care and school-age childcare – with 117% increase in investment over the past four consecutive Budgets – the cost to families of early learning and care and school-age childcare remains higher in Ireland than in other OECD countries – with wide variation in fees across the country. Staff costs account, on average, for approximately 70% of services’ costs. We know that the average hourly rate for staff in the sector is just over €12.55 and the average hourly rate for Early Years Assistant is €11.44.
"As the State is not the employer, my Department does not pay the wages of staff working in early learning and care settings. A Labour Court Sectoral Employment Order (SEO) is the most viable mechanism to improve pay and conditions. I have repeatedly expressed support for an SEO and my Department is ready to co-operate with such a process when it is under way. I have engaged and will continue to engage with SIPTU on this issue.
“The introduction of the National Childcare Scheme will add to supports provided to parents over the last four years, for example, the second year of the preschool scheme, and targeted subsidies of up to €145 per child per week. It will alleviate the burden on parents further, but more needs to be done. Efforts to address affordability will continue. This will be backed by the Government pledge, set out in the First 5 Strategy, to at least double the investment in early learning and care and school-age childcare by 2028.
“I recently announced plans to develop a new Funding Model for early learning and care and school-age childcare. This Funding Model will be a critical mechanism to ensure that the State leverages maximum value from that additional investment. As Minister, I want to see improvements in terms of affordability for parents and the quality of service offered to children. This is highly dependent on a valued workforce. As part of its work, the Funding Model Expert Group will explore mechanisms to control the fees charged to parents, recognising that at present my Department has no powers to do this.
“In the meantime, I urge parents to use this data to inform themselves of what they should expect to pay for early learning and care and school-age childcare in their area, and to check out www.ncs.gov.ie to see what subsidy they may be eligible for under the National Childcare Scheme,” she said.
Subscribe or register today to discover more from DonegalLive.ie
Buy the e-paper of the Donegal Democrat, Donegal People's Press, Donegal Post and Inish Times here for instant access to Donegal's premier news titles.
Keep up with the latest news from Donegal with our daily newsletter featuring the most important stories of the day delivered to your inbox every evening at 5pm.